


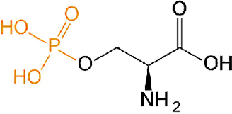
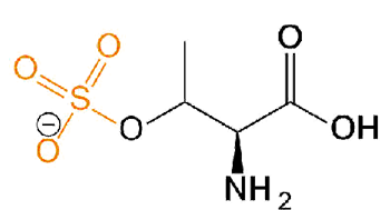
磷酸化及磺酸化修飾
多肽磷酸化可以幫助研究磷酸化對多肽和蛋白結構的影響以及蛋白激酶的作用機理,肽谷生物已經成功地為客戶合成了大量的絲氨酸、蘇氨酸和酪氨酸等磷酸化多肽。






1)通過電話(18115476705)郵件(sales@tgpeptide.com)聯系我們;
2)提供合成多肽的具體需求,包括序列、質量和純度,技術部門評估后給與報價。
3)簽訂多肽合成合同,交付合成預付款,科研機構先使用再付款!
4)合成過程定期跟您匯報合成進度及情況;
5)根據合同內容,隨貨提供發票;
6)如因本公司原因不能交貨或合成失敗,退還所有合成款!
Copyright ?2020 南京肽谷生物科技有限公司 備案號:蘇ICP備19062824號-1 網站地圖