


FITC&AMC等熒光標記技術
熒光標記所依賴的化合物稱為熒光物質。熒光物質是指具有共軛雙鍵體系化學結構的化合物,受到紫外光或藍紫光照射時,可激發成為激發態,當從激發態恢復基態時,發出熒光。熒光標記技術指利用熒光物質共價結合或物理吸附在所要研究分子的某個基團上,利用它的熒光特性來提供被研究對象的信息。熒光標記的無放射物污染,操作簡便等優點,使得熒光標記物在許多研究領域的應用日趨廣泛。人們利用利用熒光標記的多肽來檢測目標蛋白的活性,并將其發展的高通量活性篩選方法應用于疾病治療靶點蛋白的藥物篩選和藥物開發(例如,各種激酶、磷酸酶、肽酶等)。肽谷生物經過長期開發,能夠提供技術成熟的各種熒光標記多肽。
除了FRET熒光淬滅組合,肽谷生物還可以提供包括FITC, FAM, TAMRA, Biotin等種類齊全的多肽熒光標記服務。
下面是一些常見的多肽修飾熒光物質結構:
下表是一些熒光物質的激發光波長Ex(nm)和發射光波長Em(nm):
羥基香豆素
325
386
R-phycoerythrin
(PE) (489)
565
578
丹磺酰氯
340
578
Rhodamine Red-X
560
580
AMC
345
445
Tamara
565
578
甲氧基香豆素
360
410
Alexa fluor 555
556
573
Alexa fluor 系列
345
442
Alexa fluor 546
556
573
氨基香豆素
350
445
Rox
575
602
Dabcyl
453
-
Alexa fluor 568
578
603
Cy2
490
510
Texas Red
589
615
FAM
495
517
Alexa fluor 594
590
617
Alexa fluor 488
494
517
Alexa fluor
621
639
FITC
495
519
Alexa fluor 633
650
668
Alexa fluor 430
430
545
Cy5 (625)
650
670
5-FAM
492
518
Alexa fluor 660
663
690
Alexa fluor 532
530
555
Cy5.5
675
694
HEX
535
556
TruRed 490
675
695
5-TAMRA
542
568
Alexa fluor 680
679
702
Cy3
550
570
Cy7
743
767
TRITC
547
572
Cy3.5
581
596
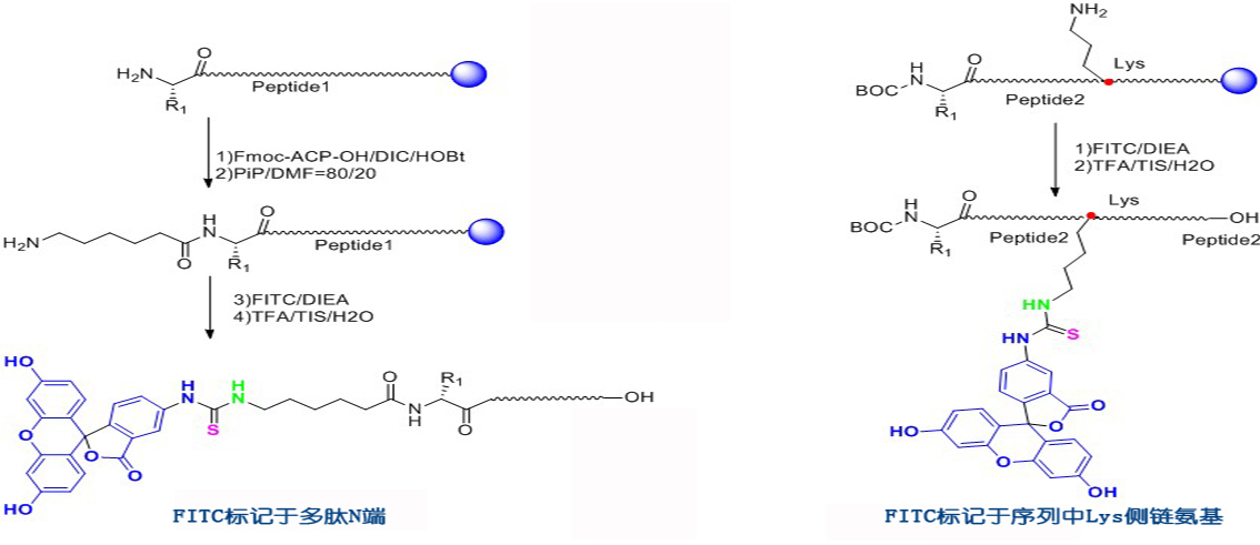
FITC(異硫氰酸熒光素)具有比較高的活性,我們公司可以通過兩種方式將FITC標記于多肽上:(1) 將FITC標記于賴氨酸(Lys)或被選擇性地脫保護的鳥氨酸(ornithine)側鏈氨基上;(2) 將FITC標記于多肽N端氨基。
當在N端標記時,建議在最后一個氨基和由異硫氰酸酯與氨基反應產生的硫脲鍵之間引入烷基間隔器(alkyl spacer)如氨基己酸(Ahx)。鏈接切割需要酸性環境,在N端標記FITC的多肽需經歷環化作用來形成熒光素,通常會伴有最后一個氨基酸的去除,但當有一個間隔器如氨基己酸,或者是通過非酸性環境將目的肽從樹脂上切下來時,這種情況可避免。空間位阻被認為是在熒光染料前使用Ahx的主要原因,而不是為什么FITC不能直接偶聯在多肽上的原因。
Ahx或b-Ala均可作為間隔器用于FITC標記的多肽上。
AMC(7-氨基-4-甲基香豆素)是一種應用廣泛的熒光標記試劑, 與其他熒光染料不同的是,AMC修飾多肽分子是從C端進行:
(1)AMC與肽鏈C端第一個氨基酸反應;
(2)固相合成整條肽鏈(從第二個氨基酸開始),并且保留整條肽鏈的側鏈保護基和最后一個氨基保護基;
(3)液相縮合AA-AMC與全保護的肽鏈;
(4)切除保護基,完成肽鏈的修飾。
通常,生物素、FITC等染料可任意標記在多肽N端或C端。但我們推薦N端標記,其成功率更高、所需時間更短、更易操作。由于多肽都是從C端往N端合成,所以N端修飾將是固相合成的最后一步,不再需要額外的偶聯步驟。相反,如果是C端標記,則需要附加步驟,而過程會更復雜。
大多數染料都是大型的芳香分子,如此龐大分子的介入有助于避免標簽和多肽之間的相互作用。這將有助于保持多肽的構象和生物學活性。一般來說,推薦引入一個柔性間隔如Ahx(一個6碳化合物)會使熒光標記更加穩定。否則FITC將很容易與其他任何位置的半胱氨酸的巰基或賴氨酸的氨基發生連接。
Copyright ?2020 南京肽谷生物科技有限公司 備案號:蘇ICP備19062824號-1 網站地圖