


產品中心
174P30
δ-MSH
N/A
100930-04-9

174P29
γ?-MSH trifluoroacetate salt
N/A
72629-64-2

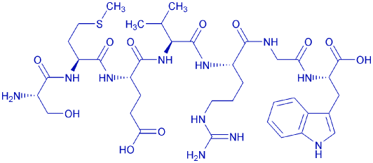
174P28
γ?-MSH
g-MSH
72711-43-4

174P27
(D-Trp?)-γ?-MSH trifluoroacetate salt
(D-Trp?)-γ-MSH, DTrp-Gamma MSH
321351-81-9

174P26
Acetyl-(Lys?,Nle3)-γ?-MSH amide trifluoroacetate salt
Acetyl-(Lys0, Nle3)-g2-MSH amide
237761-41-0

174P25
γ?-MSH
g-1-MSH, amide
72629-65-3

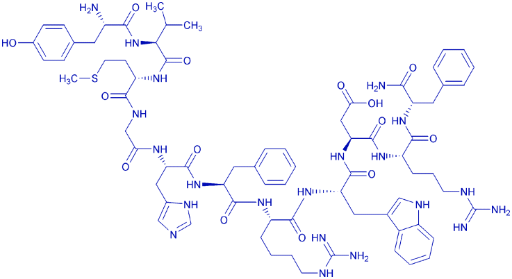
174P24
β-MSH (monkey)
β-MSH (5-22) (human)
17750-75-3

174P23
(Deamino-Cys11,D-2-Nal1?,Cys1?)-β-MSH (11-22) amide trifluoroacetate salt
JKC-363
436083-30-6

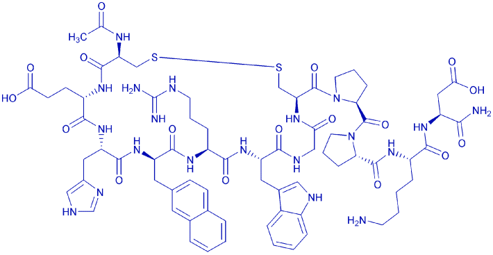
174P22
Acetyl-(Cys11,D-2-Nal1?,Cys1?)-β-MSH (11-22) amide trifluoroacetate salt
HS014
207678-81-7

174P21
Acetyl-(D-Arg1?,Cys11,D-Phe1?,Cys1?)-β-MSH (10-17) amide trifluoroacetate salt
N/A
819048-44-7

Copyright ?2020 南京肽谷生物科技有限公司 備案號:蘇ICP備19062824號-1 網站地圖