


產品中心
173P34
Neuropeptide EI (human, mouse, rat) trifluoroacetate salt
NEI (human, mouse, rat), MCH Precursor (131-143) (human, rat), MCH Precursor (132-144) (mouse), Promelanin-Concentrating Hormone (110-122) (human, rat), Promelanin-Concentrating Hormone (111-123) (mouse), Neuropeptide EI (human, mouse, rat)
125934-45-4

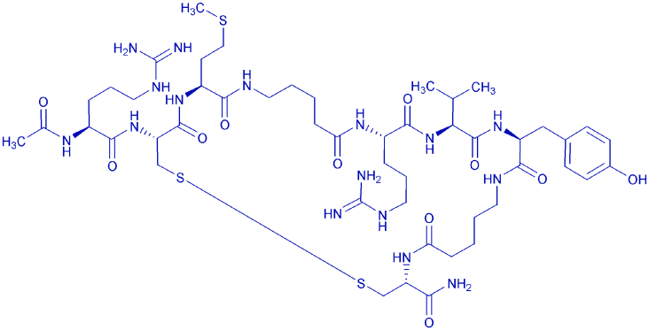
173P33
Ac-Arg-Cys-Met-5-aminopentanoyl-Arg-Val-Tyr-5-aminopentanoyl-Cys-NH? trifluoroacetate salt (Disulfide bond)
N/A
353487-64-6

173P32
Z-Pro-Leu-Gly-NHOH
N/A
103145-74-0

173P31
Z-Pro-D-Leu-D-Ala-NHOH
N/A
123984-15-6

173P30
Z-Pro-Leu-Ala-NHOH
N/A
123984-00-9

173P29
Z-Gly-Pro-Gly-Gly-Pro-Ala-OH
N/A
13075-38-2

173P28
H-Val-Pro-Leu-Ser-Leu-Tyr-Ser-Gly-OH trifluoroacetate salt
N/A
425632-67-3

173P27
H-Pro-Leu-Gly-NHOH · HCl
N/A
120928-08-7

173P26
Peptide 74
N/A
132116-39-3

173P25
6-(7-Nitro-benzo[2,1,3]oxadiazol-4-ylamino)-hexanoyl-Arg-Pro-Lys-Pro-Leu-Ala-Nva-Trp-Lys((7-dimethylaminocoumarin-4-yl)-acetyl)-NH?
NBD-ε-aminocaproyl-Arg-Pro-Lys-Pro-Leu-Ala-Nva-Trp-Lys(DMACA)-NH?
945414-97-1

Copyright ?2020 南京肽谷生物科技有限公司 備案號:蘇ICP備19062824號-1 網站地圖